امید محمدی; بازار گروه خودرو: هفته گذشته گروه صنعتی ایران خودرو و گروه خودروسازی سایپا طی مراسمی به فاصله یک روز از اولین نمونه های خودروها و موتورهای هیبریدی داخلی رونمایی کردند. اتفاقی که می تواند آغاز فصلی جدید در صنعت خودروسازی کشور باشد. در شرایطی که ترافیک تهران روزانه میلیون ها لیتر سوخت را به گرما و آلودگی تبدیل می کند، ورود فناوری هیبریدی به خطوط تولید داخلی بیش از یک توسعه صنعتی، یک ضرورت ملی در حوزه انرژی تلقی می شود.
بررسی ها نشان می دهد کلان شهر تهران به طور متوسط روزانه بیش از 8 میلیون لیتر بنزین مصرف می کند. رقمی که بخش زیادی از آن صرف حمل و نقل موثر نمی شود، بلکه در چرخه توقف ها و حرکت های ترافیکی صرف می شود. بر این اساس کارشناسان انرژی بر این باورند که هرگونه ارتقای بهینه مصرف سوخت به ویژه از طریق توسعه خودروهای هیبریدی می تواند مستقیماً به صرفه جویی ارزی، کاهش آلودگی هوا و افزایش بهره وری اقتصاد شهری منجر شود.
ترافیک در تهران تنها یک موضوع ترافیک شهری نیست. بلکه موضوعی چندوجهی در حوزه انرژی، محیط زیست و اقتصاد ملی است. برآوردها نشان می دهد کلان شهر تهران به طور متوسط روزانه بیش از 8 میلیون لیتر بنزین مصرف می کند که بخش قابل توجهی از آن در شرایط ترافیکی و توقف های مکرر هدر می رود. این حجم زباله نه تنها به منابع انرژی کشور فشار مستقیم وارد می کند، بلکه منجر به تشدید آلودگی هوا، فرسودگی تجهیزات خودروها و افزایش هزینه های پنهان اقتصادی می شود.
در چنین شرایطی، فناوری هیبریدی می تواند نقش استراتژیک در کاهش مصرف سوخت و مهار آلودگی به عنوان حلقه میانی بین خودروهای بنزینی معمولی و خودروهای تمام الکتریکی داشته باشد. در ادامه این گزارش به صورت تحلیلی و علمی به بررسی جنبه های فنی و اقتصادی استفاده از خودروهای هیبریدی در ترافیک تهران می پردازد.
اتلاف انرژی در رانندگی شهری
مصرف سوخت خودرو نتیجه تعامل پنج گروه از عوامل فنی و محیطی است. تکنولوژی و طراحی خودرو، نیروهای محرکه، نوع سوخت، شرایط محیطی و سبک رانندگی تاثیر بسزایی در مصرف سوخت دارند. در ترافیک شهری، رفتار رانندگی و الگوهای توقف از مهم ترین عوامل در نظر گرفته می شود.
در شرایط ایده آل، موتور احتراق داخلی باید در محدوده دور موتور (RPM) که بازده حرارتی آن حداکثر است، کار کند. اما در تهران میانگین سرعت خودروها در ساعات اوج تردد به کمتر از 20 کیلومتر در ساعت می رسد و موتور در سرعت های کم و نوسانی کار می کند. وضعیتی که راندمان را به زیر 20 درصد می رساند.
در چنین شرایطی هر ترمز به معنای از بین رفتن انرژی شیمیایی است که با سوزاندن بنزین تولید شده است. بیشتر این انرژی به صورت گرما از لنت ترمز به محیط منتقل می شود. از نقطه نظر فیزیکی، رانندگی در ترافیک می تواند نوعی “چرخه ناقص تبدیل انرژی“مشخص است؛ جایی که هر چرخه توقف و شتاب تنها بخش کوچکی از انرژی ورودی را به حرکت مفید تبدیل می کند.
مفهوم “سرعت سبز” و نقطه مصرف بهینه
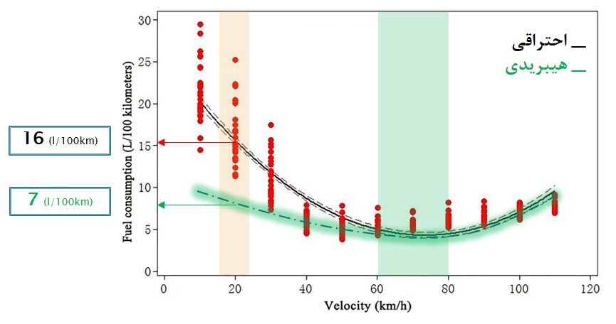
مطالعات بین المللی نشان می دهد که برای خودروهای سبک (انواع سگمنت و کلاس خودروهای سواری)، محدوده 60 تا 90 کیلومتر در ساعت نقطه تعادل مصرف سوخت است. در این محدوده مقاومت هوا و اصطکاک جاده با قدرت موتور در تعادل هستند. اما کاهش سرعت زیر 30 کیلومتر مصرف سوخت را تا دو برابر افزایش می دهد.
تحقیقات داخلی نیز این واقعیت را تایید می کند. اطلاعات میدانی و بررسی های نویسنده این مقاله در جاده های پرتردد تهران از جمله بزرگراه همت و مدرس نشان داد که با کاهش میانگین سرعت از 65 به 20 کیلومتر، مصرف سوخت خودروهای معمولی 2.1 برابر افزایش یافته است. این بدان معناست که هر لیتر بنزین تنها نیمی از بازده بالقوه خود را در ترافیک واقعی دارد.

تکنولوژی هیبریدی؛ راه حل مهندسی برای بازگرداندن بهره وری
خودروهای هیبریدی با ترکیب دو منبع نیرو، موتور احتراق داخلی و موتور الکتریکی، برای جبران ناکارآمدی که قبلا ذکر شد، طراحی شدند. در سرعت های پایین و هنگام توقف، سیستم کنترل هوشمند موتور بنزینی را خاموش می کند و نیروی محرکه را از موتور الکتریکی تامین می کند. این وضعیت به ویژه در ترافیک سنگین تهران منجر به صرفه جویی قابل توجهی در مصرف سوخت می شود. از سوی دیگر، فناوری ترمز احیا کننده اجازه می دهد تا بخشی از انرژی جنبشی خودرو به الکتریسیته تبدیل شده و در هنگام ترمزگیری در باتری ذخیره شود. در عمل، این چرخه بسته کارایی کلی سیستم حرکت در شهر را تا 40 درصد افزایش می دهد.
از نظر فنی، موتورهای هیبریدی زمانی که موتورهای بنزینی با راندمان 15 تا 18 درصد کار می کنند، می توانند بازده ترکیبی 30 تا 35 درصد را ارائه دهند. این تفاوت به نظر عدد کمی است اما در مقیاس ملی به معنای کاهش میلیون ها لیتر سوخت در روز است.
تأثیر اقلیم، ارتفاع و بار ترافیکی بر عملکرد
تهران با ارتفاع متوسط 1200 متر از سطح دریا و تراکم حرارتی بالا در تابستان یکی از نامساعدترین محیط ها برای کارایی موتور احتراق داخلی است. کاهش چگالی هوا در ارتفاع بالا باعث افت فشار اکسیژن و در نتیجه کاهش کامل احتراق سوخت می شود. سیستم های هیبریدی کمتر تحت تاثیر این محدودیت قرار می گیرند و به دلیل وابستگی نسبی به موتور الکتریکی، از پایداری عملکرد بالاتری برخوردارند.
تست ها و بررسی های خبرنگاربازارنشان داده است که در شرایط آب و هوایی مشابه، مصرف سوخت یک خودروی هیبریدی 47 درصد کمتر از نمونه بنزینی معادل آن است. این اختلاف در مسیرهای بین شهری به حدود 20 درصد کاهش می یابد که ناشی از کاهش توقف های متوالی است.

برآورد هزینه و کارایی اقتصادی در مقیاس ملی
بر اساس آمار شرکت ملی صدا و سیما، مصرف روزانه بنزین در کشور در سال جاری حدود 125 میلیون لیتر است که سهم تهران از این میزان بیش از 8 میلیون لیتر است. اگر تنها 30 درصد از ناوگان سبک شهر به خودروهای هیبریدی تبدیل شود، می توان صرفه جویی روزانه 1.5 تا 2 میلیون لیتری بنزین را محقق کرد. با احتساب یارانه پنهان حدود 40 سنت به ازای هر لیتر بنزین، این معادل 300 میلیون دلار صرفه جویی در سال است. به عبارت ساده تر، سرمایه گذاری در واردات و مونتاژ خودروهای هیبریدی در کمتر از دو سال از کاهش مصرف سوخت جبران می شود. همچنین کاهش هزینه نگهداری خودروهای هیبریدی (به ویژه در سیستم ترمز و موتور) در مقایسه با خودروهای معمولی حدود 20 درصد است.
اثرات زیست محیطی و سلامت عمومی
هر لیتر بنزین در فرآیند احتراق کامل حدود 2.3 کیلوگرم دی اکسید کربن تولید می کند. بر این اساس کاهش 2 میلیون لیتری مصرف سوخت روزانه به معنای جلوگیری از انتشار حدود 4600 تن CO2 در روز تنها در تهران است. این رقم معادل جذب کربن توسط بیش از 50 میلیون درخت است.
از طرفی کاهش آلاینده هایی مانند مونوکسید کربن، اکسیدهای نیتروژن و ذرات معلق PM2.5 تاثیر مستقیمی بر شاخص سلامت هوای پایتخت دارد. تحقیقات وزارت بهداشت نشان می دهد که هر 10 درصد کاهش آلاینده های ناشی از سوخت های فسیلی می تواند 7 درصد از مراجعات تنفسی در فصل سرما را کاهش دهد. رقمی که از نظر هزینه های درمانی معادل صدها میلیارد تومان صرفه جویی است.
گرانی اولیه خودروهای هیبریدی همواره یکی از موانع توسعه این فناوری در بازار ایران بوده است. اما تحلیل های اقتصادی نشان می دهد که میانگین اختلاف قیمت 500 تا 800 میلیون تومانی نسبت به خودروهای مشابه بنزینی طی 4 تا 5 سال از محل صرفه جویی در مصرف سوخت جبران می شود. در شرایط فعلی که بنزین با سهمیه محدود و مصرف بیشتر از سهمیه با نرخ آزاد عرضه می شود، این بازگشت سرمایه نیز برای مصرف کننده ملموس است.
در سطح کلان، توسعه ناوگان هیبریدی باعث کاهش فشار بر پالایشگاه ها، افزایش صادرات محصولات و در نهایت بهبود تراز ارزی کشور می شود. همچنین از منظر امنیت انرژی، کاهش وابستگی به بنزین وارداتی یا باکیفیت، ظرفیت مدیریت بحرانهای احتمالی را افزایش میدهد.

سیاست های لازم برای تحقق تحول
تجربه کشورهایی مانند ژاپن و کره جنوبی نشان می دهد که توسعه فناوری هیبریدی نیازمند سیاست های ترکیبی است. معافیت گمرکی و مالیاتی برای واردات یا تولید خودروهای هیبریدی، ایجاد مشوق های بیمه ای و مالیاتی برای مصرف کنندگان، توسعه شبکه تخصصی خدمات پس از فروش و الزام تدریجی نوسازی ناوگان تاکسیرانی و حمل و نقل عمومی با خودروهای هیبریدی. در صورت اجرایی شدن چنین بسته ای، سهم خودروهای هیبریدی در بازار کشور طی پنج سال می تواند به 15 درصد برسد.
کلان شهر تهران در قلب یک بحران خاموش انرژی قرار دارد. بحرانی که خود را در مصرف بی رویه سوخت، آلودگی هوا و هزینه های پنهان اقتصادی نشان می دهد. در چنین شرایطی، خودروهای هیبریدی باید نه تنها به عنوان یک محصول لوکس، بلکه به عنوان یک راه حل ملی برای ارتقای بهره وری انرژی مورد توجه سیاستگذاران قرار گیرد.
انتقال تدریجی از ناوگان بنزینی به ناوگان هیبریدی کم هزینه، سریع و مطابق با شرایط زیرساختی کشور است. اگر این مسیر با سیاست های حمایتی و برنامه ریزی هوشمندانه همراه باشد، می تواند نقطه شروع تحول در الگوی مصرف سوخت، کاهش فشار بر منابع ملی و ارتقای کیفیت زندگی در پایتخت باشد.